MUX36D041-pA on-state leakage current, 36-V, 4:1, 2-channel precision analog multiplexer | Integrated Circuits (ICs) | 2 | Active | The MUX36S08 and MUX36D04 (MUX36xxx) are modern complementary metal-oxide semiconductor (CMOS) analog multiplexers (muxes). The MUX36S08 offers 8:1 single-ended channels, whereas the MUX36D04 offers differential 4:1 or dual 4:1 single-ended channels. The MUX36S08 and MUX36D04 work equally well with either dual supplies (±5 V to ±18 V) or a single supply (10 V to 36 V). They also perform well with symmetric supplies (such as VDD= 12 V, VSS= –12 V), and unsymmetric supplies (such as VDD= 12 V,VSS= –5 V). All digital inputs have TTL-logic compatible thresholds, ensuring both TTL and CMOS logic compatibility when operating in the valid supply voltage range.
The MUX36S08 and MUX36D04 have very low on and off leakage currents, allowing these multiplexers to switch signals from high input impedance sources with minimal error. A low supply current of 45 µA enables use in portable applications.
The MUX36S08 and MUX36D04 (MUX36xxx) are modern complementary metal-oxide semiconductor (CMOS) analog multiplexers (muxes). The MUX36S08 offers 8:1 single-ended channels, whereas the MUX36D04 offers differential 4:1 or dual 4:1 single-ended channels. The MUX36S08 and MUX36D04 work equally well with either dual supplies (±5 V to ±18 V) or a single supply (10 V to 36 V). They also perform well with symmetric supplies (such as VDD= 12 V, VSS= –12 V), and unsymmetric supplies (such as VDD= 12 V,VSS= –5 V). All digital inputs have TTL-logic compatible thresholds, ensuring both TTL and CMOS logic compatibility when operating in the valid supply voltage range.
The MUX36S08 and MUX36D04 have very low on and off leakage currents, allowing these multiplexers to switch signals from high input impedance sources with minimal error. A low supply current of 45 µA enables use in portable applications. |
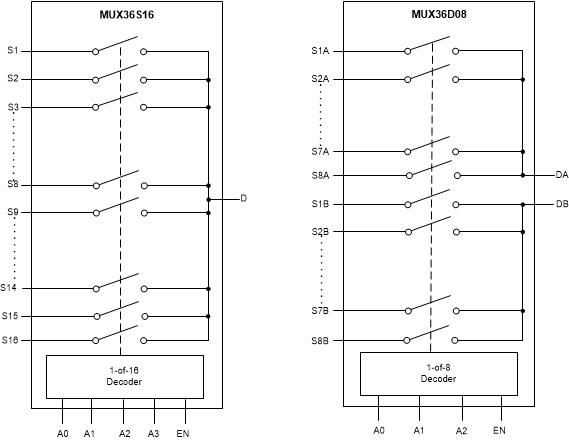
MUX36D081pA on-state leakage current, 36V, 8:1 2-channel precision analog multiplexer | Analog Switches, Multiplexers, Demultiplexers | 3 | Active | The MUX36S16 and MUX36D08 (MUX36xxx) are modern complementary metal-oxide semiconductor (CMOS) precision analog multiplexers (muxes). The MUX36S16 offers 16:1 single-ended channels, whereas the MUX36D08 offers differential 8:1 or dual 8:1 single-ended channels. The MUX36S16 and MUX36D08 work equally well with either dual supplies (±5 V to ±18 V) or a single supply (10 V to 36 V). These devices also perform well with symmetric supplies (such as VDD= 12 V, VSS= –12 V), and unsymmetric supplies (such as VDD= 12 V, VSS= –5 V). All digital inputs have transistor-transistor logic (TTL) compatible thresholds, providing both TTL and CMOS logic compatibility when operating in the valid supply voltage range.
The MUX36S16 and MUX36D08 have very low on- and off-leakage currents, allowing these multiplexers to switch signals from high input impedance sources with minimal error. A low supply current of 45 µA enables use in power-sensitive applications.
The MUX36S16 and MUX36D08 (MUX36xxx) are modern complementary metal-oxide semiconductor (CMOS) precision analog multiplexers (muxes). The MUX36S16 offers 16:1 single-ended channels, whereas the MUX36D08 offers differential 8:1 or dual 8:1 single-ended channels. The MUX36S16 and MUX36D08 work equally well with either dual supplies (±5 V to ±18 V) or a single supply (10 V to 36 V). These devices also perform well with symmetric supplies (such as VDD= 12 V, VSS= –12 V), and unsymmetric supplies (such as VDD= 12 V, VSS= –5 V). All digital inputs have transistor-transistor logic (TTL) compatible thresholds, providing both TTL and CMOS logic compatibility when operating in the valid supply voltage range.
The MUX36S16 and MUX36D08 have very low on- and off-leakage currents, allowing these multiplexers to switch signals from high input impedance sources with minimal error. A low supply current of 45 µA enables use in power-sensitive applications. |
MUX36S081-pA on-state leakage current, 36-V, 8:1, 1-channel precision analog multiplexer | Integrated Circuits (ICs) | 4 | Active | The MUX36S08 and MUX36D04 (MUX36xxx) are modern complementary metal-oxide semiconductor (CMOS) analog multiplexers (muxes). The MUX36S08 offers 8:1 single-ended channels, whereas the MUX36D04 offers differential 4:1 or dual 4:1 single-ended channels. The MUX36S08 and MUX36D04 work equally well with either dual supplies (±5 V to ±18 V) or a single supply (10 V to 36 V). They also perform well with symmetric supplies (such as VDD= 12 V, VSS= –12 V), and unsymmetric supplies (such as VDD= 12 V,VSS= –5 V). All digital inputs have TTL-logic compatible thresholds, ensuring both TTL and CMOS logic compatibility when operating in the valid supply voltage range.
The MUX36S08 and MUX36D04 have very low on and off leakage currents, allowing these multiplexers to switch signals from high input impedance sources with minimal error. A low supply current of 45 µA enables use in portable applications.
The MUX36S08 and MUX36D04 (MUX36xxx) are modern complementary metal-oxide semiconductor (CMOS) analog multiplexers (muxes). The MUX36S08 offers 8:1 single-ended channels, whereas the MUX36D04 offers differential 4:1 or dual 4:1 single-ended channels. The MUX36S08 and MUX36D04 work equally well with either dual supplies (±5 V to ±18 V) or a single supply (10 V to 36 V). They also perform well with symmetric supplies (such as VDD= 12 V, VSS= –12 V), and unsymmetric supplies (such as VDD= 12 V,VSS= –5 V). All digital inputs have TTL-logic compatible thresholds, ensuring both TTL and CMOS logic compatibility when operating in the valid supply voltage range.
The MUX36S08 and MUX36D04 have very low on and off leakage currents, allowing these multiplexers to switch signals from high input impedance sources with minimal error. A low supply current of 45 µA enables use in portable applications. |
MUX36S161-pA on-state leakage current, 36-V, 16:1, 1-channel, precision analog multiplexer | Interface | 5 | Active | The MUX36S16 and MUX36D08 (MUX36xxx) are modern complementary metal-oxide semiconductor (CMOS) precision analog multiplexers (muxes). The MUX36S16 offers 16:1 single-ended channels, whereas the MUX36D08 offers differential 8:1 or dual 8:1 single-ended channels. The MUX36S16 and MUX36D08 work equally well with either dual supplies (±5 V to ±18 V) or a single supply (10 V to 36 V). These devices also perform well with symmetric supplies (such as VDD= 12 V, VSS= –12 V), and unsymmetric supplies (such as VDD= 12 V, VSS= –5 V). All digital inputs have transistor-transistor logic (TTL) compatible thresholds, providing both TTL and CMOS logic compatibility when operating in the valid supply voltage range.
The MUX36S16 and MUX36D08 have very low on- and off-leakage currents, allowing these multiplexers to switch signals from high input impedance sources with minimal error. A low supply current of 45 µA enables use in power-sensitive applications.
The MUX36S16 and MUX36D08 (MUX36xxx) are modern complementary metal-oxide semiconductor (CMOS) precision analog multiplexers (muxes). The MUX36S16 offers 16:1 single-ended channels, whereas the MUX36D08 offers differential 8:1 or dual 8:1 single-ended channels. The MUX36S16 and MUX36D08 work equally well with either dual supplies (±5 V to ±18 V) or a single supply (10 V to 36 V). These devices also perform well with symmetric supplies (such as VDD= 12 V, VSS= –12 V), and unsymmetric supplies (such as VDD= 12 V, VSS= –5 V). All digital inputs have transistor-transistor logic (TTL) compatible thresholds, providing both TTL and CMOS logic compatibility when operating in the valid supply voltage range.
The MUX36S16 and MUX36D08 have very low on- and off-leakage currents, allowing these multiplexers to switch signals from high input impedance sources with minimal error. A low supply current of 45 µA enables use in power-sensitive applications. |
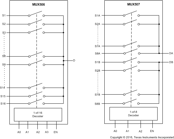
MUX5061-pA on-state leakage current, 36-V, 16:1, 1-channel precision analog multiplexer | Analog Switches, Multiplexers, Demultiplexers | 3 | Active | The MUX506 and MUX507 (MUX50x) are modern complementary metal-oxide semiconductor (CMOS) precision analog multiplexers (muxes). The MUX506 offers 16:1 single-ended channels, whereas the MUX507 offers differential 8:1 or dual 8:1 single-ended channels. The MUX506 and MUX507 work equally well with either dual supplies (±5 V to ±18 V) or a single supply (10 V to 36 V). These devices also perform well with symmetric supplies (such as VDD= 12 V, VSS= –12 V), and unsymmetric supplies (such as VDD= 12 V, VSS= –5 V). All digital inputs have transistor-transistor logic (TTL) compatible thresholds, providing both TTL and CMOS logic compatibility when operating in the valid supply voltage range.
The MUX507 and MUX507 have very low on- and off-leakage currents, allowing these multiplexers to switch signals from high input impedance sources with minimal error. A low supply current of 45 µA enables use in power-sensitive applications.
The MUX506 and MUX507 (MUX50x) are modern complementary metal-oxide semiconductor (CMOS) precision analog multiplexers (muxes). The MUX506 offers 16:1 single-ended channels, whereas the MUX507 offers differential 8:1 or dual 8:1 single-ended channels. The MUX506 and MUX507 work equally well with either dual supplies (±5 V to ±18 V) or a single supply (10 V to 36 V). These devices also perform well with symmetric supplies (such as VDD= 12 V, VSS= –12 V), and unsymmetric supplies (such as VDD= 12 V, VSS= –5 V). All digital inputs have transistor-transistor logic (TTL) compatible thresholds, providing both TTL and CMOS logic compatibility when operating in the valid supply voltage range.
The MUX507 and MUX507 have very low on- and off-leakage currents, allowing these multiplexers to switch signals from high input impedance sources with minimal error. A low supply current of 45 µA enables use in power-sensitive applications. |
MUX5071-pA on-state leakage current, 36-V, 8:1, 2-channel precision analog multiplexer | Analog Switches, Multiplexers, Demultiplexers | 2 | Active | The MUX506 and MUX507 (MUX50x) are modern complementary metal-oxide semiconductor (CMOS) precision analog multiplexers (muxes). The MUX506 offers 16:1 single-ended channels, whereas the MUX507 offers differential 8:1 or dual 8:1 single-ended channels. The MUX506 and MUX507 work equally well with either dual supplies (±5 V to ±18 V) or a single supply (10 V to 36 V). These devices also perform well with symmetric supplies (such as VDD= 12 V, VSS= –12 V), and unsymmetric supplies (such as VDD= 12 V, VSS= –5 V). All digital inputs have transistor-transistor logic (TTL) compatible thresholds, providing both TTL and CMOS logic compatibility when operating in the valid supply voltage range.
The MUX507 and MUX507 have very low on- and off-leakage currents, allowing these multiplexers to switch signals from high input impedance sources with minimal error. A low supply current of 45 µA enables use in power-sensitive applications.
The MUX506 and MUX507 (MUX50x) are modern complementary metal-oxide semiconductor (CMOS) precision analog multiplexers (muxes). The MUX506 offers 16:1 single-ended channels, whereas the MUX507 offers differential 8:1 or dual 8:1 single-ended channels. The MUX506 and MUX507 work equally well with either dual supplies (±5 V to ±18 V) or a single supply (10 V to 36 V). These devices also perform well with symmetric supplies (such as VDD= 12 V, VSS= –12 V), and unsymmetric supplies (such as VDD= 12 V, VSS= –5 V). All digital inputs have transistor-transistor logic (TTL) compatible thresholds, providing both TTL and CMOS logic compatibility when operating in the valid supply voltage range.
The MUX507 and MUX507 have very low on- and off-leakage currents, allowing these multiplexers to switch signals from high input impedance sources with minimal error. A low supply current of 45 µA enables use in power-sensitive applications. |
MUX5089.4-pF on-state capacitance, 36-V, 8:1, 1-channel analog multiplexer | Integrated Circuits (ICs) | 1 | Active | The MUX508 and MUX509 (MUX50x) are modern, complementary metal-oxide semiconductor (CMOS), analog multiplexers (muxes). The MUX508 offers 8:1 single-ended channels, whereas the MUX509 offers differential 4:1 or dual 4:1 single-ended channels. The MUX508 and MUX509 work equally well with either dual supplies (±5 V to ±18 V) or a single supply (10 V to 36 V). They also perform well with symmetric supplies (such as VDD= 12 V, VSS= –12 V), and unsymmetric supplies (such as VDD= 12 V, VSS= –5 V). All digital inputs have TTL-logic compatible thresholds, ensuring both TTL and CMOS logic compatibility when operating in the valid supply voltage range.
The MUX508 and MUX509 have very low on and off leakage currents, allowing these multiplexers to switch signals from high input impedance sources with minimal error. A low supply current of 45 µA allows for use in portable applications.
The MUX508 and MUX509 (MUX50x) are modern, complementary metal-oxide semiconductor (CMOS), analog multiplexers (muxes). The MUX508 offers 8:1 single-ended channels, whereas the MUX509 offers differential 4:1 or dual 4:1 single-ended channels. The MUX508 and MUX509 work equally well with either dual supplies (±5 V to ±18 V) or a single supply (10 V to 36 V). They also perform well with symmetric supplies (such as VDD= 12 V, VSS= –12 V), and unsymmetric supplies (such as VDD= 12 V, VSS= –5 V). All digital inputs have TTL-logic compatible thresholds, ensuring both TTL and CMOS logic compatibility when operating in the valid supply voltage range.
The MUX508 and MUX509 have very low on and off leakage currents, allowing these multiplexers to switch signals from high input impedance sources with minimal error. A low supply current of 45 µA allows for use in portable applications. |
MUX5096.7-pF on-state capacitance, 36-V, 4:1, 2-channel analog multiplexer | Integrated Circuits (ICs) | 3 | Active | The MUX508 and MUX509 (MUX50x) are modern, complementary metal-oxide semiconductor (CMOS), analog multiplexers (muxes). The MUX508 offers 8:1 single-ended channels, whereas the MUX509 offers differential 4:1 or dual 4:1 single-ended channels. The MUX508 and MUX509 work equally well with either dual supplies (±5 V to ±18 V) or a single supply (10 V to 36 V). They also perform well with symmetric supplies (such as VDD= 12 V, VSS= –12 V), and unsymmetric supplies (such as VDD= 12 V, VSS= –5 V). All digital inputs have TTL-logic compatible thresholds, ensuring both TTL and CMOS logic compatibility when operating in the valid supply voltage range.
The MUX508 and MUX509 have very low on and off leakage currents, allowing these multiplexers to switch signals from high input impedance sources with minimal error. A low supply current of 45 µA allows for use in portable applications.
The MUX508 and MUX509 (MUX50x) are modern, complementary metal-oxide semiconductor (CMOS), analog multiplexers (muxes). The MUX508 offers 8:1 single-ended channels, whereas the MUX509 offers differential 4:1 or dual 4:1 single-ended channels. The MUX508 and MUX509 work equally well with either dual supplies (±5 V to ±18 V) or a single supply (10 V to 36 V). They also perform well with symmetric supplies (such as VDD= 12 V, VSS= –12 V), and unsymmetric supplies (such as VDD= 12 V, VSS= –5 V). All digital inputs have TTL-logic compatible thresholds, ensuring both TTL and CMOS logic compatibility when operating in the valid supply voltage range.
The MUX508 and MUX509 have very low on and off leakage currents, allowing these multiplexers to switch signals from high input impedance sources with minimal error. A low supply current of 45 µA allows for use in portable applications. |
| Clock/Timing | 4 | Active | |
NA556Dual Precision Timers | Integrated Circuits (ICs) | 1 | Active | The Nx556 and Sx556 devices provide two independent timing circuits of the NA555, NE555, SA555, or SE555 type in each package. These circuits operate in an astable or monostable mode with external resistor-capacitor (RC) timing control. The basic timing provided by the RC time constant is controlled actively by modulating the bias of the control-voltage input.
Each timer has a trigger level equal to approximately one-third of the supply voltage and a threshold level equal to approximately two-thirds of the supply voltage. These levels can be altered by use of the control voltage pin (CONT). When the trigger input (TRIG) is less than the trigger level, the flip-flop is set and the output goes high. If TRIG is greater than the trigger level and the threshold input (THRES) is greater than the threshold level, the flip-flop is reset and the output is low. The reset input (RESET) overrides all other inputs and is used to initiate a new timing cycle. If RESET is low, the flip-flop is reset and the output is low. Whenever the output is low, a low-impedance path is provided between the discharge pin (DISCH) and the ground pin (GND). Tie all unused inputs to an appropriate logic level to prevent false triggering.
The Nx556 and Sx556 devices provide two independent timing circuits of the NA555, NE555, SA555, or SE555 type in each package. These circuits operate in an astable or monostable mode with external resistor-capacitor (RC) timing control. The basic timing provided by the RC time constant is controlled actively by modulating the bias of the control-voltage input.
Each timer has a trigger level equal to approximately one-third of the supply voltage and a threshold level equal to approximately two-thirds of the supply voltage. These levels can be altered by use of the control voltage pin (CONT). When the trigger input (TRIG) is less than the trigger level, the flip-flop is set and the output goes high. If TRIG is greater than the trigger level and the threshold input (THRES) is greater than the threshold level, the flip-flop is reset and the output is low. The reset input (RESET) overrides all other inputs and is used to initiate a new timing cycle. If RESET is low, the flip-flop is reset and the output is low. Whenever the output is low, a low-impedance path is provided between the discharge pin (DISCH) and the ground pin (GND). Tie all unused inputs to an appropriate logic level to prevent false triggering. |