TMUX1208-Q1Automotive 5-V, 8:1, 1-channel multiplexer with 1.8-V logic | Analog Switches, Multiplexers, Demultiplexers | 2 | Active | The TMUX1208-Q1 is a general purpose complementary metal-oxide semiconductor (CMOS) multiplexer (MUX). The TMUX1208-Q1 is an 8:1 mux configuration allowing 8 different signal paths to be switched to a common output pin . Wide operating supply of 1.08 V to 5.5 V allows for use in automotive applications with varying power supply requirements. The device supports bidirectional analog and digital signals on the source (Sx) and drain (D) pins ranging from GND to VDD.
The TMUX1208-Q1 comes in a small QFN package to enable reduced system size requirements. The device has low on-resistance of 5Ω typical to minimize the impact of distortion and signal integrity issues when the device is not connected to a high impedance signal path.
All logic inputs have 1.8 V logic compatible thresholds, ensuring both TTL and CMOS logic compatibility when operating in the valid supply voltage range. Fail-Safe Logic circuitry allows voltages on the control pins to be applied before the supply pin, protecting the device from potential damage.
The TMUX1208-Q1 is a general purpose complementary metal-oxide semiconductor (CMOS) multiplexer (MUX). The TMUX1208-Q1 is an 8:1 mux configuration allowing 8 different signal paths to be switched to a common output pin . Wide operating supply of 1.08 V to 5.5 V allows for use in automotive applications with varying power supply requirements. The device supports bidirectional analog and digital signals on the source (Sx) and drain (D) pins ranging from GND to VDD.
The TMUX1208-Q1 comes in a small QFN package to enable reduced system size requirements. The device has low on-resistance of 5Ω typical to minimize the impact of distortion and signal integrity issues when the device is not connected to a high impedance signal path.
All logic inputs have 1.8 V logic compatible thresholds, ensuring both TTL and CMOS logic compatibility when operating in the valid supply voltage range. Fail-Safe Logic circuitry allows voltages on the control pins to be applied before the supply pin, protecting the device from potential damage. |
TMUX12095-V, 4:1, 2-channel general-purpose multiplexer with 1.8-V input logic control | Analog Switches, Multiplexers, Demultiplexers | 2 | Active | The TMUX1208 and TMUX1209 are general purpose complementary metal-oxide semiconductor (CMOS) multiplexers (MUX). The TMUX1208 offers 8:1 single-ended channels, while the TMUX1209 offers differential 4:1 or dual 4:1 single-ended channels. Wide operating supply of 1.08 V to 5.5 V allows for use in a broad array of applications from personal electronics to building automation applications. The device supports bidirectional analog and digital signals on the source (Sx) and drain (D) pins ranging from GND to VDD.
All logic inputs have 1.8 V logic compatible thresholds, ensuring both TTL and CMOS logic compatibility when operating in the valid supply voltage range. Fail-Safe Logic circuitry allows voltages on the control pins to be applied before the supply pin, protecting the device from potential damage.
The TMUX1208 and TMUX1209 are general purpose complementary metal-oxide semiconductor (CMOS) multiplexers (MUX). The TMUX1208 offers 8:1 single-ended channels, while the TMUX1209 offers differential 4:1 or dual 4:1 single-ended channels. Wide operating supply of 1.08 V to 5.5 V allows for use in a broad array of applications from personal electronics to building automation applications. The device supports bidirectional analog and digital signals on the source (Sx) and drain (D) pins ranging from GND to VDD.
All logic inputs have 1.8 V logic compatible thresholds, ensuring both TTL and CMOS logic compatibility when operating in the valid supply voltage range. Fail-Safe Logic circuitry allows voltages on the control pins to be applied before the supply pin, protecting the device from potential damage. |
TMUX1212-pF, 3.3-V, 2:1 (SPDT), 2-channel, switch with 1.8-V compatible logic | Interface | 1 | Active | The TMUX121 is a high performance bidirectional 2-channel, 2:1 (SPDT) switch that supports both differential and single ended signals. The TMUX121 is an analog passive switch which features power-off protection forcing all I/O pins to be in high-impedance mode when power is not present on the V DD pin. The select and enable pins of the TMUX121 compatible with 1.8 V and 3.3 V control voltage, allowing them to be directly interfaced with the General purpose I/O (GPIO) from low voltage processors. This, along with the low on-resistance and low on capacitance of the device, make the TMUX121 an excellent choice for supporting switching a wide range of analog signals and digital communication protocol standards, including high-speed standards such as I 3C.
The TMUX121 comes in a small 10-pin UQFN package with only 1.8 mm × 1.4 mm in size, which makes it useful when PCB area is limited.
The TMUX121 is a high performance bidirectional 2-channel, 2:1 (SPDT) switch that supports both differential and single ended signals. The TMUX121 is an analog passive switch which features power-off protection forcing all I/O pins to be in high-impedance mode when power is not present on the V DD pin. The select and enable pins of the TMUX121 compatible with 1.8 V and 3.3 V control voltage, allowing them to be directly interfaced with the General purpose I/O (GPIO) from low voltage processors. This, along with the low on-resistance and low on capacitance of the device, make the TMUX121 an excellent choice for supporting switching a wide range of analog signals and digital communication protocol standards, including high-speed standards such as I 3C.
The TMUX121 comes in a small 10-pin UQFN package with only 1.8 mm × 1.4 mm in size, which makes it useful when PCB area is limited. |
TMUX12195-V, 2:1 (SPDT), 1-channel general-purpose analog switch with 1.8-V input logic | Analog Switches, Multiplexers, Demultiplexers | 1 | Active | The TMUX1219 is a general purpose complementary metal-oxide semiconductor (CMOS) single-pole double-throw (SPDT) switch. The TMUX1219 switches between two source inputs based on the state of the SEL pin. Wide operating supply of 1.08 V to 5.5 V allows for use in a broad array of applications from personal electronics to building automation. The device supports bidirectional analog and digital signals on the source (Sx) and drain (D) pins ranging from GND to VDD. A low supply current of 4 nA enables use in portable applications.
All logic inputs have 1.8 V logic compatible thresholds, ensuring both TTL and CMOS logic compatibility when operating in the valid supply voltage range. Fail-Safe Logic circuitry allows voltages on the control pins to be applied before the supply pin, protecting the device from potential damage.
The TMUX1219 is a general purpose complementary metal-oxide semiconductor (CMOS) single-pole double-throw (SPDT) switch. The TMUX1219 switches between two source inputs based on the state of the SEL pin. Wide operating supply of 1.08 V to 5.5 V allows for use in a broad array of applications from personal electronics to building automation. The device supports bidirectional analog and digital signals on the source (Sx) and drain (D) pins ranging from GND to VDD. A low supply current of 4 nA enables use in portable applications.
All logic inputs have 1.8 V logic compatible thresholds, ensuring both TTL and CMOS logic compatibility when operating in the valid supply voltage range. Fail-Safe Logic circuitry allows voltages on the control pins to be applied before the supply pin, protecting the device from potential damage. |
TMUX12375-V, 2:1 (SPDT) general purpose switch with no overshoot when switching inputs | Integrated Circuits (ICs) | 1 | Active | The TMUX1237 is a general purpose 2:1, single-pole double-throw (SPDT), switch that supports a wide operating range of 1.08 V to 5.5 V. The device supports bidirectional analog and digital signals on the source (Sx) and drain (D) pins ranging from GND to VDD. The state of the select pin (SEL) controls which of the two sources pins are connected to the drain pin. Additionally, the TMUX1237 has a low supply current of 7 nA which enables the device to be used in a host of handheld or low power applications.
The TMUX1237 improves system reliability by eliminating overshoot that might occur in a system due to switching between two voltage levels on the source (Sx) pins. In addition, the TMUX1237 also maintains fast switching times, enabling it to improve system performance for a wide range of applications from communications equipment to building automation.
All logic inputs have 1.8 V logic compatible thresholds, ensuring both TTL and CMOS logic compatibility when operating in the valid supply voltage range. Fail-Safe Logic circuitry allows voltages on the control pins to be applied before the supply pin, protecting the device from potential damage.
The TMUX1237 is a general purpose 2:1, single-pole double-throw (SPDT), switch that supports a wide operating range of 1.08 V to 5.5 V. The device supports bidirectional analog and digital signals on the source (Sx) and drain (D) pins ranging from GND to VDD. The state of the select pin (SEL) controls which of the two sources pins are connected to the drain pin. Additionally, the TMUX1237 has a low supply current of 7 nA which enables the device to be used in a host of handheld or low power applications.
The TMUX1237 improves system reliability by eliminating overshoot that might occur in a system due to switching between two voltage levels on the source (Sx) pins. In addition, the TMUX1237 also maintains fast switching times, enabling it to improve system performance for a wide range of applications from communications equipment to building automation.
All logic inputs have 1.8 V logic compatible thresholds, ensuring both TTL and CMOS logic compatibility when operating in the valid supply voltage range. Fail-Safe Logic circuitry allows voltages on the control pins to be applied before the supply pin, protecting the device from potential damage. |
TMUX12475-V, 2:1 (SPDT) general purpose switch | Interface | 1 | Active | The TMUX1247 is a general purpose complementary metal-oxide semiconductor (CMOS) single-pole double-throw (SPDT) switch. The TMUX1247 switches between two source inputs based on the state of the SEL pin. Wide operating supply of 1.08 V to 5.5 V allows for use in a broad array of applications from personal electronics to building automation. The device supports bidirectional analog and digital signals on the source (Sx) and drain (D) pins ranging from GND to VDD. A low supply current of 4 nA enables use in portable applications.
All logic inputs have 1.8 V logic compatible thresholds, ensuring both TTL and CMOS logic compatibility when operating in the valid supply voltage range. Fail-Safe Logic circuitry allows voltages on the control pins to be applied before the supply pin, protecting the device from potential damage.
The TMUX1247 is a general purpose complementary metal-oxide semiconductor (CMOS) single-pole double-throw (SPDT) switch. The TMUX1247 switches between two source inputs based on the state of the SEL pin. Wide operating supply of 1.08 V to 5.5 V allows for use in a broad array of applications from personal electronics to building automation. The device supports bidirectional analog and digital signals on the source (Sx) and drain (D) pins ranging from GND to VDD. A low supply current of 4 nA enables use in portable applications.
All logic inputs have 1.8 V logic compatible thresholds, ensuring both TTL and CMOS logic compatibility when operating in the valid supply voltage range. Fail-Safe Logic circuitry allows voltages on the control pins to be applied before the supply pin, protecting the device from potential damage. |
TMUX12483-Ω low RON, 5-V, 2:1 (SPDT) general purpose switch with 3157 pinout | Analog Switches, Multiplexers, Demultiplexers | 1 | Active | The TMUX1248 is a general purpose 2:1, single-pole double-throw (SPDT), switch that supports a wide operating range of 1.08 V to 5.5 V. The device supports bidirectional analog and digital signals on the source (Sx) and drain (D) pins ranging from GND to VDD. The state of the select pin (SEL) controls which of the two sources pins are connected to the drain pin. Additionally, the TMUX1248 has a low supply current of 7 nA which enables the device to be used in a host of handheld or low power applications.
Break-before-make switching prevents both source pins from being enabled simultaneously. This feature adds robustness in the system by preventing source signals from shorting during switching events.
All logic inputs have 1.8 V logic compatible thresholds, allowing for operation with low voltage logic signals. Fail-Safe Logic circuitry allows voltages on the control pins to be applied before the supply pin, or at a higher voltage than the supply pin up to 5.5 V, protecting the device from potential damage.
SPACER
SPACER
The TMUX1248 is a general purpose 2:1, single-pole double-throw (SPDT), switch that supports a wide operating range of 1.08 V to 5.5 V. The device supports bidirectional analog and digital signals on the source (Sx) and drain (D) pins ranging from GND to VDD. The state of the select pin (SEL) controls which of the two sources pins are connected to the drain pin. Additionally, the TMUX1248 has a low supply current of 7 nA which enables the device to be used in a host of handheld or low power applications.
Break-before-make switching prevents both source pins from being enabled simultaneously. This feature adds robustness in the system by preventing source signals from shorting during switching events.
All logic inputs have 1.8 V logic compatible thresholds, allowing for operation with low voltage logic signals. Fail-Safe Logic circuitry allows voltages on the control pins to be applied before the supply pin, or at a higher voltage than the supply pin up to 5.5 V, protecting the device from potential damage.
SPACER
SPACER |
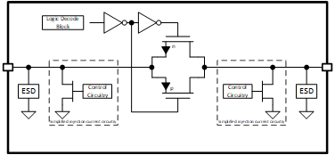
TMUX1308-Q1Automotive 5-V, 8:1, 1-channel multiplexer with injection current control and 1.8V logic | Integrated Circuits (ICs) | 4 | Active | The TMUX1308-Q1 and TMUX1309-Q1 are general purpose complementary metal-oxide semiconductor (CMOS) multiplexers (MUX). The TMUX1308-Q1 is an 8:1, 1-channel (single-ended) mux, while the TMUX1309-Q1 is a 4:1, 2-channel (differential) mux. The devices support bidirectional analog and digital signals on the source (Sx) and drain (Dx) pins ranging from GND to V DD.
The TMUX13xx-Q1 devices have an internal injection current control feature which eliminates the need for external diode and resistor networks typically used to protect the switch and keep the input signals within the supply voltage. The internal injection current control circuitry allows signals on disabled signal paths to exceed the supply voltage without affecting the signal of the enabled signal path. Additionally, the TMUX13xx-Q1 devices do not have an internal diode path to the supply pin, which eliminates the risk of damaging components connected to the supply pin or providing unintended power to the supply rail.
All logic inputs have 1.8 V logic compatible thresholds, ensuring both TTL and CMOS logic compatibility when operating with a valid supply voltage. Fail-Safe Logic circuitry allows voltages on the control pins to be applied before the supply pin, protecting the device from potential damage.
The TMUX1308-Q1 and TMUX1309-Q1 are general purpose complementary metal-oxide semiconductor (CMOS) multiplexers (MUX). The TMUX1308-Q1 is an 8:1, 1-channel (single-ended) mux, while the TMUX1309-Q1 is a 4:1, 2-channel (differential) mux. The devices support bidirectional analog and digital signals on the source (Sx) and drain (Dx) pins ranging from GND to V DD.
The TMUX13xx-Q1 devices have an internal injection current control feature which eliminates the need for external diode and resistor networks typically used to protect the switch and keep the input signals within the supply voltage. The internal injection current control circuitry allows signals on disabled signal paths to exceed the supply voltage without affecting the signal of the enabled signal path. Additionally, the TMUX13xx-Q1 devices do not have an internal diode path to the supply pin, which eliminates the risk of damaging components connected to the supply pin or providing unintended power to the supply rail.
All logic inputs have 1.8 V logic compatible thresholds, ensuring both TTL and CMOS logic compatibility when operating with a valid supply voltage. Fail-Safe Logic circuitry allows voltages on the control pins to be applied before the supply pin, protecting the device from potential damage. |
TMUX1309-Q1Automotive 5-V, 4:1, two-channel multiplexer with injection control and 1.8-V logic | Interface | 6 | Active | The TMUX1308-Q1 and TMUX1309-Q1 are general purpose complementary metal-oxide semiconductor (CMOS) multiplexers (MUX). The TMUX1308-Q1 is an 8:1, 1-channel (single-ended) mux, while the TMUX1309-Q1 is a 4:1, 2-channel (differential) mux. The devices support bidirectional analog and digital signals on the source (Sx) and drain (Dx) pins ranging from GND to V DD.
The TMUX13xx-Q1 devices have an internal injection current control feature which eliminates the need for external diode and resistor networks typically used to protect the switch and keep the input signals within the supply voltage. The internal injection current control circuitry allows signals on disabled signal paths to exceed the supply voltage without affecting the signal of the enabled signal path. Additionally, the TMUX13xx-Q1 devices do not have an internal diode path to the supply pin, which eliminates the risk of damaging components connected to the supply pin or providing unintended power to the supply rail.
All logic inputs have 1.8 V logic compatible thresholds, ensuring both TTL and CMOS logic compatibility when operating with a valid supply voltage. Fail-Safe Logic circuitry allows voltages on the control pins to be applied before the supply pin, protecting the device from potential damage.
The TMUX1308-Q1 and TMUX1309-Q1 are general purpose complementary metal-oxide semiconductor (CMOS) multiplexers (MUX). The TMUX1308-Q1 is an 8:1, 1-channel (single-ended) mux, while the TMUX1309-Q1 is a 4:1, 2-channel (differential) mux. The devices support bidirectional analog and digital signals on the source (Sx) and drain (Dx) pins ranging from GND to V DD.
The TMUX13xx-Q1 devices have an internal injection current control feature which eliminates the need for external diode and resistor networks typically used to protect the switch and keep the input signals within the supply voltage. The internal injection current control circuitry allows signals on disabled signal paths to exceed the supply voltage without affecting the signal of the enabled signal path. Additionally, the TMUX13xx-Q1 devices do not have an internal diode path to the supply pin, which eliminates the risk of damaging components connected to the supply pin or providing unintended power to the supply rail.
All logic inputs have 1.8 V logic compatible thresholds, ensuring both TTL and CMOS logic compatibility when operating with a valid supply voltage. Fail-Safe Logic circuitry allows voltages on the control pins to be applied before the supply pin, protecting the device from potential damage. |
TMUX131Low capacitance, 3.6-V, 3:1, 2-channel, powered-off protected switch with 1.8-V logic | Analog Switches, Multiplexers, Demultiplexers | 1 | Active | The TMUX131 device is a high performance bidirectional 2-channel, 3:1 multiplexer that supports both differential and single ended signals. The TMUX131 is an analog passive multiplexer which features power-off protection forcing all I/O pins to be in high-impedance mode when power is not present on the VDD pin. The select pins of the TMUX131 are compatible with 1.8 V and 3.3 V control logic, allowing them to be directly interfaced with the general purpose I/O (GPIO) from low voltage processors. This, along with the low on-resistance and low on-capacitance of the device, make the TMUX131 an excellent device for supporting switching a wide range of analog signals and digital communication protocol standards, including high-speed standards such as I 3C.
The TMUX131 comes in a small 12-pin VQFN package with only 1.8 mm × 1.8 mm in size, which makes it useful when PCB area is limited.
The TMUX131 device is a high performance bidirectional 2-channel, 3:1 multiplexer that supports both differential and single ended signals. The TMUX131 is an analog passive multiplexer which features power-off protection forcing all I/O pins to be in high-impedance mode when power is not present on the VDD pin. The select pins of the TMUX131 are compatible with 1.8 V and 3.3 V control logic, allowing them to be directly interfaced with the general purpose I/O (GPIO) from low voltage processors. This, along with the low on-resistance and low on-capacitance of the device, make the TMUX131 an excellent device for supporting switching a wide range of analog signals and digital communication protocol standards, including high-speed standards such as I 3C.
The TMUX131 comes in a small 12-pin VQFN package with only 1.8 mm × 1.8 mm in size, which makes it useful when PCB area is limited. |